问题
给你单链表的头节点 head ,请你反转链表,并返回反转后的链表。
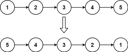
示例 1:

输入:
head = [1,2,3,4,5]输出:
[5,4,3,2,1]示例 2:

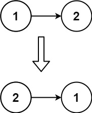
输入:
head = [1,2]输出:
[2,1]示例 3:
输入:
head = []输出:
[]提示:
- 链表中节点的数目范围是
[0, 5000] -5000 <= Node.val <= 5000
进阶: 链表可以选用迭代或递归方式完成反转。你能否用两种方法解决这道题?
/**
* Definition for singly-linked list.
* struct ListNode {
* int val;
* ListNode *next;
* ListNode() : val(0), next(nullptr) {}
* ListNode(int x) : val(x), next(nullptr) {}
* ListNode(int x, ListNode *next) : val(x), next(next) {}
* };
*/
class Solution {
public:
ListNode* reverseList(ListNode* head) {
}
};分析
考虑到单向链表的特殊迭代方式,迭代到下一个节点的时候,就无法“直接”获得上一个节点的信息(除非进行了保存),因此反转单向链表的操作和栈很类似,需要将先读取到的节点放入最里面。
而为了在遍历的时候能同时修改链表原本的指向,可以用多个指针实现。
具体来说,可以用三个指针分别表示前、中和后的位置,让中间的next指向之前的节点,然后整体往后移动重复操作,走完全程即可。
代码
// 迭代法
static ListNode* reverse_list_iterator(ListNode* head)
{
if (!head || !head->next) {
return head;
}
ListNode *prev = nullptr;
ListNode *next = head->next;
while (head) {
next = head->next;
head->next = prev;
prev = head;
head = next;
}
return prev;
}
// 递归法
static ListNode* reverse_list_recursion(ListNode* prev, ListNode* head)
{
if (!head) {
return nullptr;
}
if (!head->next) {
head->next = prev;
return head;
}
ListNode* next = head->next;
head->next = prev;
prev = head;
head = next;
return reverse_list_recursion(prev, head);
}
/**
* Definition for singly-linked list.
* struct ListNode {
* int val;
* ListNode *next;
* ListNode() : val(0), next(nullptr) {}
* ListNode(int x) : val(x), next(nullptr) {}
* ListNode(int x, ListNode *next) : val(x), next(next) {}
* };
*/
class Solution {
public:
ListNode* reverseList(ListNode* head) {
// 递归法
// return reverse_list_recursion(nullptr, head);
// 迭代法
return reverse_list_iterator(head);
}
};