问题
某教练同时带教两位学员,分别以链表 l1、l2 记录了两套核心肌群训练计划,节点值为训练项目编号。两套计划仅有前半部分热身项目不同,后续正式训练项目相同。请设计一个程序找出并返回第一个正式训练项目编号。如果两个链表不存在相交节点,返回 null 。
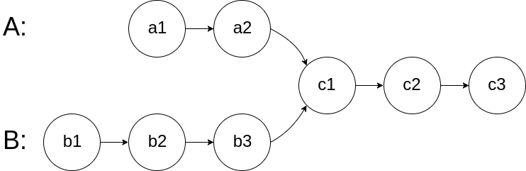
如下面的两个链表 :

在节点 c1 开始相交。
输入说明:
intersectVal- 相交的起始节点的值。如果不存在相交节点,这一值为 0l1- 第一个训练计划链表l2- 第二个训练计划链表skip1- 在l1中(从头节点开始)跳到交叉节点的节点数skip2- 在l2中(从头节点开始)跳到交叉节点的节点数
程序将根据这些输入创建链式数据结构,并将两个头节点 head1 和 head2 传递给你的程序。如果程序能够正确返回相交节点,那么你的解决方案将被视作正确答案 。
示例 1:

输入:
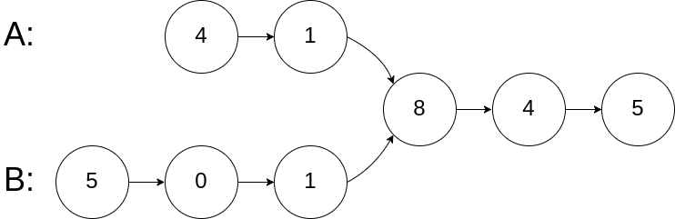
intersectVal = 8, listA = [4,1,8,4,5], listB = [5,0,1,8,4,5], skipA = 2, skipB = 3 输出:
Reference of the node with value = 8 解释:
第一个正式训练项目编号为 8 (注意,如果两个列表相交则不能为 0)。从各自的表头开始算起,链表 A 为 [4,1,8,4,5],链表 B 为 [5,0,1,8,4,5]。在 A 中,相交节点前有 2 个节点;在 B 中,相交节点前有 3 个节点。 示例 2:

输入:
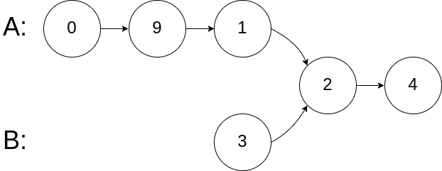
intersectVal = 2, listA = [0,9,1,2,4], listB = [3,2,4], skipA = 3, skipB = 1 输出:
Reference of the node with value = 2 解释:
第一个正式训练项目编号为 2 (注意,如果两个列表相交则不能为 0)。从各自的表头开始算起,链表 A 为 [0,9,1,2,4],链表 B 为 [3,2,4]。在 A 中,相交节点前有 3 个节点;在 B 中,相交节点前有 1 个节点。 示例 3:

输入:
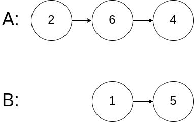
intersectVal = 0, listA = [2,6,4], listB = [1,5], skipA = 3, skipB = 2 输出:
null解释:
两套计划完全不同,返回 null。从各自的表头开始算起,链表 A 为 [2,6,4],链表 B 为 [1,5]。由于这两个链表不相交,所以 intersectVal 必须为 0,而 skipA 和 skipB 可以是任意值。 注意:
- 如果两个链表没有交点,返回
null. - 在返回结果后,两个链表仍须保持原有的结构。
- 可假定整个链表结构中没有循环。
- 程序尽量满足 O(n) 时间复杂度,且仅用 O(1) 内存。
- 本题与主站 160 题相同:https://leetcode-cn.com/problems/intersection-of-two-linked-lists/
/**
* Definition for singly-linked list.
* struct ListNode {
* int val;
* ListNode *next;
* ListNode(int x) : val(x), next(NULL) {}
* };
*/
class Solution {
public:
ListNode *getIntersectionNode(ListNode *headA, ListNode *headB) {
}
};分析
这个问题其实和寻找循环链表的入口很类似,只是循环链表那边的另一端是从环内出发,里面的特征是在Y型路径从相同距离交汇点的位置出发、速度相同的两个节点,会在同一个“路口”相遇。
那么为了变成相同“距离”,只需要提前计算二者的长度,然后把长的那部分“消减”掉,这样就相当于从相同距离的位置出发,然后在代码里面判断二者地址是否相同,并且同时前进,相同的话说明碰到了交汇点。
代码
/**
* Definition for singly-linked list.
* struct ListNode {
* int val;
* ListNode *next;
* ListNode(int x) : val(x), next(NULL) {}
* };
*/
class Solution {
public:
ListNode *getIntersectionNode(ListNode *headA, ListNode *headB) {
ListNode* iter_a = headA;
ListNode* iter_b = headB;
while (iter_a && iter_b) {
iter_a = iter_a->next;
iter_b = iter_b->next;
}
while (iter_a) {
iter_a = iter_a->next;
headA = headA->next;
}
while (iter_b) {
iter_b = iter_b->next;
headB = headB->next;
}
while (headA && headB) {
if (headA == headB) {
return headA;
}
headA = headA->next;
headB = headB->next;
}
return nullptr;
}
};